7 Was sollte ich noch bedenken?
Die Auslegung der Absauganlage bestimmt in hohem Maße die Betriebskosten!
7.1 Energiekosten
- Welchen Stromverbrauch hat mein Ventilator?
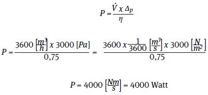
Die Leistungsaufnahme des Ventilators kann mit Hilfe der einfachen Formel

errechnet werden.
So ergibt sich für eine Entstaubungsanlage mit Filter eine typische Gesamtdruckdifferenz von 3000 Pa (Pa = N/m²).
Bei einer Luftmenge von 3600 m³/h und einem Wirkungsgrad des Ventilators von 75 % errechnet sich die Leistungsaufnahme zu

- Kann die Lüfterleistung an den Bedarf angepasst werden (z. B. Frequenzumrichter)?
- Wie viel warme Luft wird durch die Absauganlage nach draußen geführt?
Die zugeführte Außenluft muss zumindest während der Heizperiode erwärmt werden. Je näher die Erfassung an der Entstehungsstelle erfolgt, desto geringer kann der Volumenstrom sein.
Den Lüftungswärmeverlust, also die erforderliche Wärmemenge, die einem Raum, aus dem abgesaugt wird, wieder zugeführt werden muss, kann man überschlägig recht einfach mit der Formel "Wärmemenge = Luftdichte x Volumenstrom x Temperaturdifferenz x Betriebszeit x spezifische Wärmekapazität der Luft (= 1 kJ/kgK)" errechnen.
Beispiel: Energieverbrauch für ein Jahr

Dies zeigt, dass sich die Investition in eine Anlage zur Wärmerückgewinnung auch hinsichtlich der Betriebskosten lohnen kann.
7.2 Unterhaltskosten
- Was kosten Ersatzfilter? Wie ist die Standzeit? (ggf. Erhöhung der Standzeit teurer Filter durch preiswerte Vorfilter)
- Wie wird mit den abgeschiedenen Stoffen umgegangen?
- Können Auffangbehälter wiederverwendet werden?
- Was kosten Auffangbehälter?
- Was kostet die Wartung?
7.3 Entsorgungskosten
Kann der Staub wiederverwendet werden oder muss entsorgt werden? (Produktrückführung oder Verwertung, z. B. KSS, Holzbriketts)