Beim Einrichten sicherer Stapel ist zu beachten:

Abb. 12a

Abb. 12b

Abb. 12c
| QG | = | Eigengewicht des Ladungsträger |
| Q | = | Nutzlast je Ladungsträger |
| QS | = | QG + Q (Eigengewicht + Nutzlast) |
| H | = | Horizontalkraft = 1/50 der Gewichtskraft aus QS |
| hi | = | Höhe des einzelnen Ladungsträger |
| h | = | Gesamthöhe des Stapels |
| Hz | = | zusätzliche Horizontalkraft = mindestens 150 N |
Bei der Ermittlung der Stand- und Tragsicherheit ist die Horizontalkraft H in der jeweiligen Lagerfuge zuzüglich einer an der obersten Fuge horizontal wirkenden Einzelkraft Hz von mindestens 150 N, sowohl in Längs- als auch in Tiefenrichtung, jedoch nicht gleichzeitig wirkend, anzusetzen.
Die zusätzliche Horizontalkraft Hz kann größer als 150 N sein, z. B. aufgrund von Windlasten bei der Stapelung in Außenbereichen.
Beispiel 1
zur Ermittlung der Standsicherheit
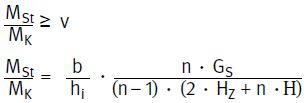
Die Standsicherheit gegen Umkippen (Standsicherheit) errechnet sich bei waagerechter Aufstandsfläche in geschlossenen Räumen wie folgt:
| MSt | = | Standmoment |
| MK | = | Kippmoment |
| v | = | erforderlicher Standsicherheitsfaktor gegen Kippen (gemäß Tabelle 1) |
Tabelle 1 Erforderliche Standsicherheitsfaktoren in Abhängigkeit der Schlankheit
| Schlankheit S | Erforderlicher Standsicherheitsfaktor |
| 0 < S ≤ 6 | 2,0 |
| 6 < S ≤ 8 | 2,3 |
| 8 < S ≤ 9 | 2,6 |
| 9 < S ≤ 10 | 3,0 |
| 10 < S ≤ 11 | 3,5 |

| Eigengewicht je Ladungsträger: | QG | = | 75 kg |
| Nutzlast je Ladungsträger: | Q | = | 1000 kg |
| Länge der Stapeleinheit: | l | = | 1000 mm |
| Breite der Stapeleinheit: | b | = | 800 mm |
| Höhe der Stapeleinheit: | hi | = | 1200 mm |
| Anzahl der Stapeleinheiten im Stapel: | n | = | 4 |
QS = QG + Q = 75 kg + 1000 kg = 1075 kg
1075 kg erzeugen eine Gewichtskraft von
GS = 9,81 m/s2 ⋅ 1075 kg ≈ 10 m/s2 ⋅ 1075 kg = 10750 N
H = 1/50 ⋅ GS = 1/50 ⋅ 10750 N = 215 N
Hz = 150 N
b < l, daher Richtung der Horizontalkräfte nach Abbildung 12a
Daneben ist zu beachten, dass die zulässige Auflast für den untersten Ladungsträger mindestens 3225 kg (3 ⋅ QS) betragen muss (siehe z. B. Typenschild).
Beispiel 2
für die Stapelung leerer Lagergeräte (Q = 0 kg)
QS = QG + Q = 75 kg + 0 kg = 75 kg
75 kg erzeugen eine Gewichtskraft von
GS = 9,81 m/s2 ⋅ 75 kg ≈ 10 m/s2 ⋅ 75 kg = 750 N
H = 1/50 ⋅ GS = 1/50 ⋅ 750 N = 15 N

d. h. eine Vierfach-Stapelung ist hier nicht zulässig.