Anhang 1

Zulässiger Sauerstoffpartialdruck/Zulässige tägliche Sauerstoffdosis


1.

Zulässiger Sauerstoffpartialdruck (pO2) im Verlauf eines Tauchgangs (Max. 140 kPa)

 

Tabelle 1

pO2 (in kPa) Zeitdauer (in h) Max. pO2 (in kPa)
pro Tauchgang
160 3 480
140 4 560
120 5 600
100 6 600
90 8 720

2.

Ermittlung der maximalen Einsatztiefe – MOD bei dem gewählten Sauerstoffpartialdruck

 

fO2 = Fraktion des Gases

pO2 = Sauerstoffpartialdruck [bar]

MOD = Maximale Einsatztiefe [m]

Beispiel: MOD bei 140 kPa und einem Sauerstoffanteil im Gemisch von 30 % (fO2 = 0,3) (Nitrox–Gemisch 30/70) = 36,7 m Wassertiefe

3.

Ermittlung der "äquivalenten Luft Tauchtiefe" mit Festlegung des Tauchgangprofils

 

Zur Ermittlung des Tauchgangprofils muss die äquivalente Luft Tauchtiefe ermittelt werden. In der Tabelle 2 wird die tatsächliche Tauchtiefe (linke Spalte) für das festgelegte Sauerstoff/Stickstoff Gemisch (Nitrox) bestimmt. Die äquivalente Luft Tauchtiefe wird in der Spalte des gewählten Gemisches abgelesen.

 

Tabelle 2  Ermittlung der äquivalenten Tauchgangtiefe

Ermittlung:

  1. Festlegen der tatsächlichen Tauchtiefe (Spalte 1/links)
  2. Ablesen der „äquivalenten Tauchtiefe“ im Schnittfeld der
    • Zeile für die tatsächliche Tauchtiefe (zu Beispiel: Festlegung 33 m) und der
    • Spalte für das verwendete Nitroxgemisch (zu Beispiel: Festlegung Nitrox 30/70)
    • Tabellenwert der äquivalenten Luft Tauchtiefe für dieses Beispiel 30 m
  3. Die so ermittelte "äquivalente Tauchtiefe" (Beispiel wird als "Tauchtiefe" für das Austauchen nach Tabelle 2 nach Anlage 1 der DGUV Vorschrift 40 zu Grunde gelegt.

Zum Beispiel:
Auszug aus der DGUV Vorschrift 40/Festlegung Tauchzeit 60 Minuten.


Tabelle 3  Drucklufttabelle

Tauchzeit
(min)
Aufstieg bis zur
ersten Austauchstufe
(min : sec)
Haltezeiten während des Austauchens
auf den Austauchstufen (min)
Gesamtzeit der
Dekompression
(min : sec)
Wiederholungsgang
möglich
18 m 15 m 12 m 9 m 6 m 3 m
Tauchtiefe 30 m
15 2:30 2:30 Ja
20 2:15 3 5:15 Ja
25 2:15 5 7:15 Ja
30 2:15 10 12:15 Ja
35 2:00 3 12 17:00 Ja
40 2:00 5 17 24:00 Ja
45 2:00 7 20 29:00 Ja
50 2:00 10 25 37:00 Ja
60 1:45 3 15 35 54:45 Ja

4.

Berücksichtigung der Sauerstofftoxizität (nach Paul Bert)

4.1

Ermittlung der Sauerstofftoxizität und deren Grenzwert


Tabelle 4  Zulässiger Sauerstoffpartialdruck (pO2) im Verlauf eines Tauchganges (Sauerstofftoxizität – CNS Tabelle nach NOAA)

max. pO2 (in kPa) CNS O2% (%/min) max. Zeit pro
Tauchgang (in min)
max. Zeit pro Tag
(in min)
160 2,22 45 150
150 0,83 120 180
140 0,65 150 180
130 0,56 180 210
120 0,47 210 240
110 0,42 240 270
100 0,33 300 300
90 0,28 360 360
80 0,22 450 450
70 0,18 570 570
60 0,14 720 720

Der Wert für die CNS darf den Wert von 100 CNS % nicht überschreiten. Sollte der Wert über 100 CNS % liegen, ist der Tauchgang nicht durchführbar.


Tabelle 5  Ermittlung der CNS in % anhand eines Beispiels

Erster Tauchgang
Tiefe (m) Zeit (min) O2 (%) Gemisch N2 (%) pO2 (kPa) CNS %/min CNS %
33 60 30 70 129 0,56 33,6
33 4
(ges. Austauchzeit)
30 70 129 0,56 2,24
9 3 30 70 57 0,14 0,42
6 15 30 70 48 0,14 2,1
3 35 30 70 39 0,14 4,9
 
117

Summe


43,26

Der Wert ist mit 43,26 CNS % somit kleiner als 100 CNS %. Der Tauchgang ist durchführbar.

Empfehlung:
Liegt der Wert eines Einzeltauchgangs über 50 CNS % sollte man mindestens 45 Minuten an der Oberfläche bei normobarem Druck verweilen. Liegt der Wert größer 90 CNS % sollte man mindestens 2 Std. an der Oberfläche verweilen.


4.2

Ermittlung der Reduktion der CNS % durch eine Oberflächenpause

Für die Berechnung eines Wiederholungstauchgangs muss der beim 1. Tauchgang ermittelte CNS % Wert berücksichtigt werden. Diese CNS % reduziert sich um einen Anteil durch die Oberflächenpause. Bestimmt wird diese Reduktion durch die Halbwertszeit.

Halbwertszeit: CNS %(t) = CNS % * (½)t/90 = CNS % * e–t/130

t = Oberflächenpause in Minuten


Tabelle 6  Reduktionsfaktoren

Oberflächenpause
t in min
Reduktionsfaktor Oberflächenpause
t in min
Reduktionsfaktor
15 min 0,89 150 min 0,32
30 min 0,8 180 min 0,25
45 min 0,71 210 min 0,2
60 min 0,63 240 min 0,16
75 min 0,56 270 min 0,13
90 min 0,5 300 min 0,1
105 min 0,45 360 min 0,07
120 min 0,4 420 min 0,04

Beispiel: Gewählte Oberflächenpause 2 Stunden. Nach 2 Stunden reduziert sich die Sättigung somit auf 0,4 * 43,26 CNS %. = 17,30 CNS %.

4.3

Wiederholungstauchgänge

Bei der Planung eines Wiederholungtauchgangs ist die Tabelle 6 der DGUV Vorschrift 40 zu berücksichtigen.

Die Ermittlung der CNS % erfolgt analog der Punkte 1 bis 4 des Anhangs. Zusätzlich muss die Restsättigung zu dem ermittelten Wert addiert werden. Die CNS % Wert darf 100 nicht überschreiten.

5.

Berücksichtigung der Sauerstofftoxizität nach Lorraine-Smith

5.1

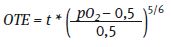
Ermittlung der Sauerstoff-Toleranz-Einheiten (OTE)

Die Ermittlung der täglichen Sauerstoff-Toleranz-Einheiten (OTE) erfolgt nach folgender Formel:

t = Zeit in Minuten

pO2 = Sauerstoffpartialdruck in bar

1 bar = 100 kPa; 1 kPa = 0,01 bar


Tabelle 7  Sauerstoff-Toleranz-Einheiten (OTE) pro Zeiteinheit in Abhängigkeit vom Sauerstoffpartialdruck

pO2 kPa OTE pro min OTE pro h
60 0,26 16
70 0,47 28
80 0,65 39
90 0,83 50
100 1 60
110 1,16 70
120 1,32 79
130 1,48 89
140 1,63 98
150 1,78 107
160 1,93 116
170 2,07 125
180 2,22 134
190 2,36 142
200 2,5 150
210 2,64 159
220 2,77 167

5.2

Tabelle der täglichen Sauerstoff-Toleranz-Einheiten (OTE)

Die tägliche Sauerstoffdosis darf die in Spalte 2 der nachfolgenden Tabelle 8 angegebenen Werte für die Sauerstoff-Toleranz-Einheiten (OTE) nicht überschreiten, wenn an der in Spalte 1 angegebenen Zahl von aufeinanderfolgenden Tagen getaucht wird.


Tabelle 8  Höchstzulässige Sauerstoffdosis pro Tag (in Sauerstoff-Toleranz-Einheiten/OTE) in Abhängigkeit von der Zeitdauer des Taucheinsatzes

Dauer der Exposition in Tagen OTE pro Tag
1 850
2 700
3 620
4 525
5 460
6 420
7 380
8 350
9 330
10 310
11–30 300

Beispiel:
Ermittlung der im Verlauf eines Tauchganges aufgenommenen Sauerstoff-Toleranz- Einheiten mit folgenden Randbedingungen.

Festgelegt:

Atemgas: Nitrox 30/70; tatsächliche Tauchtiefe: 33 m; Tauchzeit: 60 min
Max. Partialdruck des Sauerstoffs 140 kPa berücksichtigen.

Äquivalente Luft Tauchtiefe = 30 m (Ermittlung siehe Tabelle 2)

Für die Berechnung des Sauerstoffpartialdruckes pO2 ist die tatsächliche Tauchtiefe anzusetzen, für die Bestimmung der Dekompressionszeit ist die äquivalente Tauchtiefe anzusetzen.


Tabelle 9  Das Austauchen erfolgt entsprechend der Tabelle 2 der DGUV Vorschrift 40

Tauchgang
Tiefe (m) Zeit (min) O2 (%) Gemisch N2 (%) pO2 (kPa) pO2/min OTE gesamt
33 60 30 70 129 1,48 88,8
33 4
(ges. Austauchzeit)
30 70 129 1,48 5,92
9 3 30 70      
6 15 30 70 48 0,26 3,9
3 35 30 70 39 0,26 9,1

Summe


108,5

Ein weiterer Tauchgang wäre möglich und würde analog der obigen Berechnung für Wiederholungstauchgänge berechnet.